Cov xim reactive muaj cov xim ci thiab cov chromatograms tiav. Nws paub txog nws daim ntawv thov yooj yim, tus nqi qis, thiab kev ua haujlwm zoo heev. Tshwj xeeb tshaj yog nrog kev txhim kho ntawm cov cellulose fibers hauv xyoo tas los no, cov xim reactive tau dhau los ua hom xim tseem ceeb tshaj plaws rau kev zas xim cellulose fiber textile.
Tab sis qhov teeb meem tseem ceeb tshaj plaws ntawm cov tshuaj reactive dyes yog qhov qis qis ntawm kev qaug zog thiab kev kho kom ruaj khov. Hauv cov txheej txheem dyeing ib txwm muaj ntawm cellulose fiber, txhawm rau txhim kho kev nqus xim thiab kev kho kom ruaj khov ntawm cov tshuaj reactive dyes, yuav tsum ntxiv ntau cov ntsev inorganic (sodium chloride lossis sodium sulfate). Nyob ntawm cov qauv xim thiab xim, qhov ntau ntawm cov ntsev siv feem ntau yog 30 txog 150 g / L. Txawm hais tias muaj kev vam meej zoo hauv kev kho cov organic sib xyaw hauv kev luam ntawv thiab dyeing wastewater, kev ntxiv ntau cov ntsev inorganic hauv cov txheej txheem dyeing tsis tuaj yeem kho los ntawm cov txheej txheem yooj yim thiab biochemical.
Kev tshawb fawb txog thev naus laus zis ntawm cov xim reactive thiab cov xim tsis muaj ntsev
Los ntawm qhov kev pom ntawm ecological, kev tso tawm ntawm cov dej ntws thiab cov dej khib nyiab uas muaj ntsev ntau ncaj qha hloov cov dej zoo ntawm cov dej ntws thiab pas dej thiab ua rau puas tsuaj rau ib puag ncig ecological.
duab
Qhov dej ntsev uas nkag tau ntau yuav ua rau cov av nyob ib puag ncig cov dej thiab cov pas dej ntsev, ua rau cov qoob loo tsis muaj zog. Hauv ntej, kev siv cov ntsev inorganic ntau heev tsis tuaj yeem lwj lossis rov ua dua tshiab, thiab tib lub sijhawm muaj kev cuam tshuam loj heev rau qhov zoo ntawm dej thiab av. Raws li qhov no, tsab xov xwm no tshuaj xyuas cov kev tshawb fawb tsis ntev los no ntawm cov thev naus laus zis zas xim tsis muaj ntsev, thiab sib tham txog kev hloov pauv ntawm cov qauv ntawm cov xim zas xim uas muaj ntsev tsawg, thev naus laus zis grafting, thiab thev naus laus zis sib txuas.
Cov xim reactive rau cov xim tsis muaj ntsev
Cov yam ntxwv zoo tshaj plaws ntawm cov xim reactive yog cov qauv molecular me me, hydrophilicity zoo, thiab yooj yim ntxuav tawm ntawm cov xim ntab tom qab kho. Qhov no yog ib qho kev tsim kho tshiab tseem ceeb hauv kev tsim cov xim molecules. Tab sis qhov no kuj ua rau cov xim ploj mus thiab cov nqi kho kom tsawg, thiab ntau ntsev yuav tsum tau ntxiv thaum lub sijhawm zas xim. Ua rau poob ntau cov dej khib nyiab ntsev thiab cov xim, yog li ua rau cov nqi kho dej khib nyiab nce ntxiv. Kev ua qias tuaj ib puag ncig yog qhov loj heev. Qee lub tuam txhab zas xim pib them sai sai rau kev tshuaj xyuas thiab kev txhim kho cov xim ua ntej thiab cov pab pawg reactive, thiab los tsim cov xim reactive rau cov xim ntsev tsawg. CibacronLs uas Ciba tso tawm yog ib hom xim zas xim ntsev tsawg uas siv cov pab pawg sib txawv los sib xyaw ua ke. Tus yam ntxwv ntawm cov xim no yog tias cov ntsev siv hauv kev zas xim yog 1/4 txog 1/2 ntawm cov xim reactive dav dav. Nws tsis rhiab rau kev hloov pauv ntawm qhov sib piv da dej thiab muaj kev rov ua dua zoo. Hom xim no feem ntau yog dip dyeing thiab tuaj yeem siv ua ke nrog cov xim disperse rau kev zas xim sai ntawm polyester / paj rwb sib xyaw.
Lub Tuam Txhab Sumitomo ntawm Nyiv tau tsim ib pawg ntawm cov txheej txheem zas xim uas haum rau Sumifux Supra series dyes. Nws hu ua LETfS staining method. Tus nqi ntawm cov ntsev inorganic siv rau hauv txoj kev no tsuas yog 1/2 txog 1/3 ntawm cov txheej txheem ib txwm muaj, thiab qhov sib piv ntawm cov da dej tuaj yeem ncav cuag 1:10. Thiab tau tsim ib qho series ntawm cov xim reactive sib xws nrog cov txheej txheem. Cov koob ntawm cov xim no yog heterobi-reactive dyes ua los ntawm monochloros-triazine thiab B-ethylsulfone sulfate. Tus nqi ntawm cov xim seem hauv cov dej khib nyiab zas xim ntawm cov koob ntawm cov xim no tsuas yog 25% -30% ntawm cov xim hauv cov dej khib nyiab zas xim dav dav. Nws raug pom zoo rau kev zas xim ntawm Tencel fibers. Nws qhia tau tias muaj kev ua tau zoo heev ntawm kev siv hauv cov nqe lus ntawm kev kho kom raug, yooj yim ntxuav, thiab ntau yam kev ceev ntawm cov khoom zas xim.
Lub tuam txhab DyStar tau tsim cov xim RemazolEF series uas tsim nyog rau kev zas xim tsis muaj ntsev, pawg nquag yog B-hydroxyethyl sulfone sulfate, thiab tau tsim cov txheej txheem zas xim tsis muaj ntsev uas zoo rau ib puag ncig. Tus nqi ntawm cov ntsev inorganic siv yog 1/3 ntawm cov txheej txheem ib txwm muaj. Cov txheej txheem zas xim luv dua. Tsis tas li ntawd, lub kaw lus npog ntau yam chromatograms. Ntau yam xim tseem ceeb peb tuaj yeem ua ke kom tau txais cov xim ci. Lub tuam txhab Clariant (Clariant) tau tsim cov xim DrimareneHF series ntawm cov xim reactive, feem ntau yog 4 hom: DrimareneBlueHF-RL, 戡ownHF-2RL, NavyHF-G, RedHF-G, siv rau kev zas xim qaug zog thiab kev zas xim tas mus li ntawm cov cellulose fibers, kev ua haujlwm ntawm daim ntawv thov thiab kev ceev ceev zoo. Tus nqi fixation siab heev, ntsev tsawg thiab cawv tsawg. Kev kho tsis muaj zog, ntxuav tau zoo.
Qee cov xim reactive dyes tshiab tsim tau tuaj yeem ua rau kom qhov ncaj qha ntawm cov xim los ntawm kev nce qhov ntim ntawm cov molecules xim thiab txo cov ntsev inorganic. Piv txwv li, kev qhia txog cov pab pawg urea tuaj yeem ua rau kom qhov ncaj qha ntawm cov pab pawg nquag thiab txo cov ntsev inorganic. Txhim kho qhov nrawm ntawm kev kho; kuj tseem muaj cov polyazo xim precursors (xws li trisazo, tetraazo) los ua kom qhov ncaj qha ntawm cov xim, thiab ua tiav lub hom phiaj ntawm kev zas xim tsis muaj ntsev. Qhov cuam tshuam steric hindrance siab ntawm qee cov xim hauv cov qauv kuj tseem tuaj yeem hloov pauv qhov reactivity ntawm cov pab pawg reactive ntawm cov xim reactive thiab qhov ntau ntawm cov ntsev siv hauv kev zas xim. Cov teebmeem steric hindrance no feem ntau yog kev qhia txog alkyl substituents ntawm ntau qhov chaw ntawm cov xim matrix. Lawv cov yam ntxwv tseem ceeb ntawm cov qauv tau sau los ntawm cov kws tshawb fawb raws li hauv qab no:
Pawg nquag ib SO: CH2CH: oS03Na tuaj yeem nyob rau hauv qhov chaw meta lossis para ntawm lub nplhaib benzene;
R3 tuaj yeem nyob rau hauv qhov chaw ortho, inter, lossis para ntawm lub nplhaib benzene. Cov qauv mis yog vinyl sulfone reactive dyes.
Cov hloov pauv sib txawv lossis qhov chaw hloov pauv sib txawv ntawm cov xim zas tuaj yeem ua tiav tib tus nqi zas xim nyob rau hauv tib qho kev mob zas xim, tab sis lawv cov ntsev zas xim sib txawv heev.
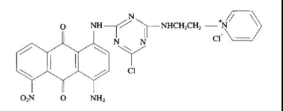
Cov xim pleev uas muaj ntsev tsawg zoo heev yuav tsum muaj cov yam ntxwv hauv qab no: 1) Cov ntsev siv rau hauv kev pleev xim raug txo qis heev; 2) Kev pleev xim rau hauv qhov sib piv ntawm cov xim pleev xim qis, kev pleev xim rau hauv qhov chaw ruaj khov; 3) Kev ntxuav tau zoo. Txo lub sijhawm ua tiav tom qab; 4) Kev rov ua dua zoo heev. Hais txog kev txhim kho xim pleev xim, ntxiv rau kev txhim kho cov qauv xim pleev xim saum toj no thiab kev sib xyaw ua ke ntawm cov pab pawg nquag, qee tus neeg tau tsim cov xim pleev xim cationic reactive, uas tuaj yeem pleev xim yam tsis ntxiv ntsev. Piv txwv li Cationic reactive dyes ntawm cov qauv hauv qab no:

Los ntawm cov mis saum toj no, koj tuaj yeem pom tias lub cev xim txuas nrog pawg monochloro-triazine. Ib pawg pyridine quaternary ammonium kuj txuas rau lub nplhaib s-triazine. Cov xim muaj tus nqi zoo thiab pawg quaternary ammonium yog pawg dej-soluble. Vim tias tsis yog tsuas yog tsis muaj kev cuam tshuam ntawm cov xim molecule thiab cov fiber, tab sis kuj tseem muaj kev nyiam ntawm cov nqi zoo thiab tsis zoo, cov xim yooj yim mus cuag qhov chaw ntawm cov fiber thiab nqus mus rau cov xim fiber. Qhov muaj cov electrolytes hauv cov tshuaj dyeing yuav tsis tsuas yog tsis tsim cov nyhuv dye-txhawb nqa, tab sis kuj ua rau qhov kev nyiam ntawm cov xim thiab cov fiber tsis muaj zog, yog li hom xim dyeing no tuaj yeem dyed yam tsis ntxiv cov electrolytes rau kev dyeing tsis muaj ntsev. Cov txheej txheem dyeing zoo ib yam li cov xim reactive ib txwm muaj. Rau monochloros-triazine reactive dyes, sodium carbonate tseem ntxiv rau tus neeg sawv cev kho. Qhov kub kho yog nyob ib puag ncig 85 ℃. Tus nqi dye uptake tuaj yeem ncav cuag 90% txog 94%, thiab tus nqi kho yog 80% txog 90%. Nws muaj lub teeb ci zoo thiab ntxuav tau sai. Cov xim cationic reactive zoo sib xws kuj tau tshaj tawm tias siv monofluoro-s-triazine ua pawg nquag. Cov haujlwm ntawm monofluoro-s-triazine siab dua li ntawm monochloro-s-triazine.
Cov xim no kuj tseem tuaj yeem zas xim rau hauv paj rwb / acrylic sib xyaw, thiab lwm yam khoom ntawm cov xim (xws li kev sib npaug thiab kev sib haum xeeb, thiab lwm yam) yuav tsum tau kawm ntxiv. Tab sis nws muab txoj hauv kev tshiab rau cov cellulose fiber los ua cov xim tsis muaj ntsev.
Lub sijhawm tshaj tawm: Lub Ib Hlis-12-2021





